近日,3044永利集团多名博士生于统计学顶级期刊Annals of Statistics、Journal of the Royal Statistical Society Series B及机器学习顶级期刊Journal of Machine Learning Research在线发表研究成果,标志着多项统计学理论研究领域的新突破。
1. 基于神经网络的非线性充分降维

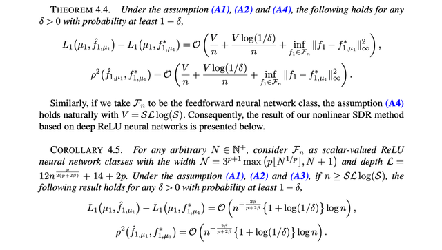
2023届博士毕业生陈胤峰、2020级博士研究生邱锐与导师於州教授及武汉大学焦雨领副教授合作完成的论文Deep Nonlinear Sufficient Dimension Reduction将发表于统计学期刊Annals of Statistics。该项研究旨在估计数据的低维充分表示。文章借助广义鞅差散度刻画条件独立性,应用深度神经网络拟合非线性充分降维函数,并发展了有限阶U过程理论以深入探究估计量的非渐近收敛性质。与经典的算子特征分解相比,文章提出的方法表现出更高的效率和灵活性。


2. 随机森林和神经网络的有机结合

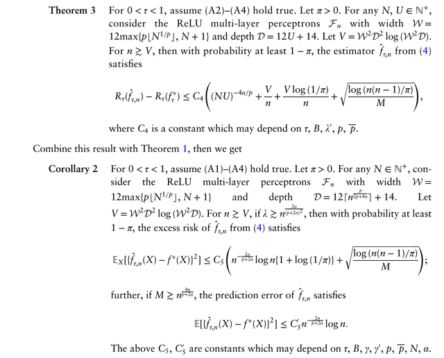
2020级博士研究生邱锐、2023级博士研究生徐顺拓与导师於州教授合作完成的论文Neural Networks Meet Random Forests 在线发表于统计学期刊Journal of the Royal Statistical Society Series B。该项研究集神经网络与随机森林之所长,提出了一种精度更高的回归及分类方法,尤其适用于小样本、高噪音的数据类型。文章借助随机森林生成权重,应用神经网络拟合复杂函数,并证明了估计器具有极大极小最优收敛速率。文章提出的方法还可扩展至解决导数的估计问题及充分降维任务。


3. 基于随机森林的非欧数据回归

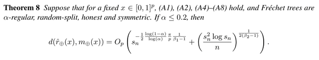
2020级博士研究生邱锐与导师於州教授及美国伊利诺伊大学香槟分校朱若青副教授合作完成的论文Random Forest Weighted Local Fréchet Regression with Random Objects 在线发表于机器学习期刊Journal of Machine Learning Research。该项研究深入探讨了一般度量空间中复杂数据的回归问题。文章基于随机森林诱导的自适应权重提出了两种局部非欧回归方法,有效消减了现有方法存在的维数灾难问题,并在大量数值实验中验证了新方法的优良效果。文章亦详尽给出了估计器的一致性、非渐近收敛速率等理论结果。


上述研究成果得到了科技部重点研发计划(2021YFA1000100,2023YFA1008700),国家自然科学基金面上项目(NSFC 12371289)以及上海市基础研究特区计划(TQ20220105)的支持。
3044永利集团始终坚持“立德树人”教育方针,扎实推进“卓越育人”体系建设,致力于为员工营造良好的学术氛围和创新环境。学院积极拥抱人工智能新兴前沿领域,面向人工智能数理基础,引领员工勇攀高峰,进一步提升统计学方法论创新素养,力争为“AI在华师大”提供统计学维度的新质生产力。
论文链接:
1. Yinfeng Chen, Yuling Jiao, Rui Qiu and Zhou Yu (2024+).Deep Nonlinear Sufficient Dimension Reduction. To appear in Annals of Statistics.
2. Rui Qiu, Shuntuo Xu and Zhou Yu (2024). Neural Networks Meet Random Forests. Journal of the Royal Statistical Society Series B: Statistical Methodology. DOI: 10.1093/jrsssb/qkae038.
3. Rui Qiu, Zhou Yu and Ruoqing Zhu (2024). Random Forest Weighted Local Fréchet Regression with Random Objects.Journal of Machine Learning Research, 25(107), 1-69.